Punjab Counter Narcotics Force CNF Jobs 2026 Apply for Assistant Director Legal and Sub Inspector IT AI posts in Punjab. Check eligibility, salary, and application form details.
Are you looking for a powerful government career opportunity in Punjab? Punjab Counter Narcotics Force CNF Jobs 2026 could be your best chance if you are a qualified lawyer or an IT/AI professional who wants to fight against drug trafficking and serve the province.
The Government of Punjab, through the Excise, Taxation & Narcotics Control Department, has officially announced new vacancies in the Punjab Counter Narcotics Force (CNF) on a contract basis. These positions offer attractive salaries, career growth, and a chance to work in a specialized law enforcement unit.
Overview of Punjab Counter Narcotics Force CNF Jobs 2026
The Punjab Counter Narcotics Force CNF Jobs 2026 are announced for highly skilled individuals. These jobs are initially for 3 years (extendable) and include quota-based recruitment for women, minorities, and disabled candidates.
These roles are ideal for candidates who want to contribute to a drug-free society while earning a strong monthly income.
Available Positions in CNF Jobs 2026
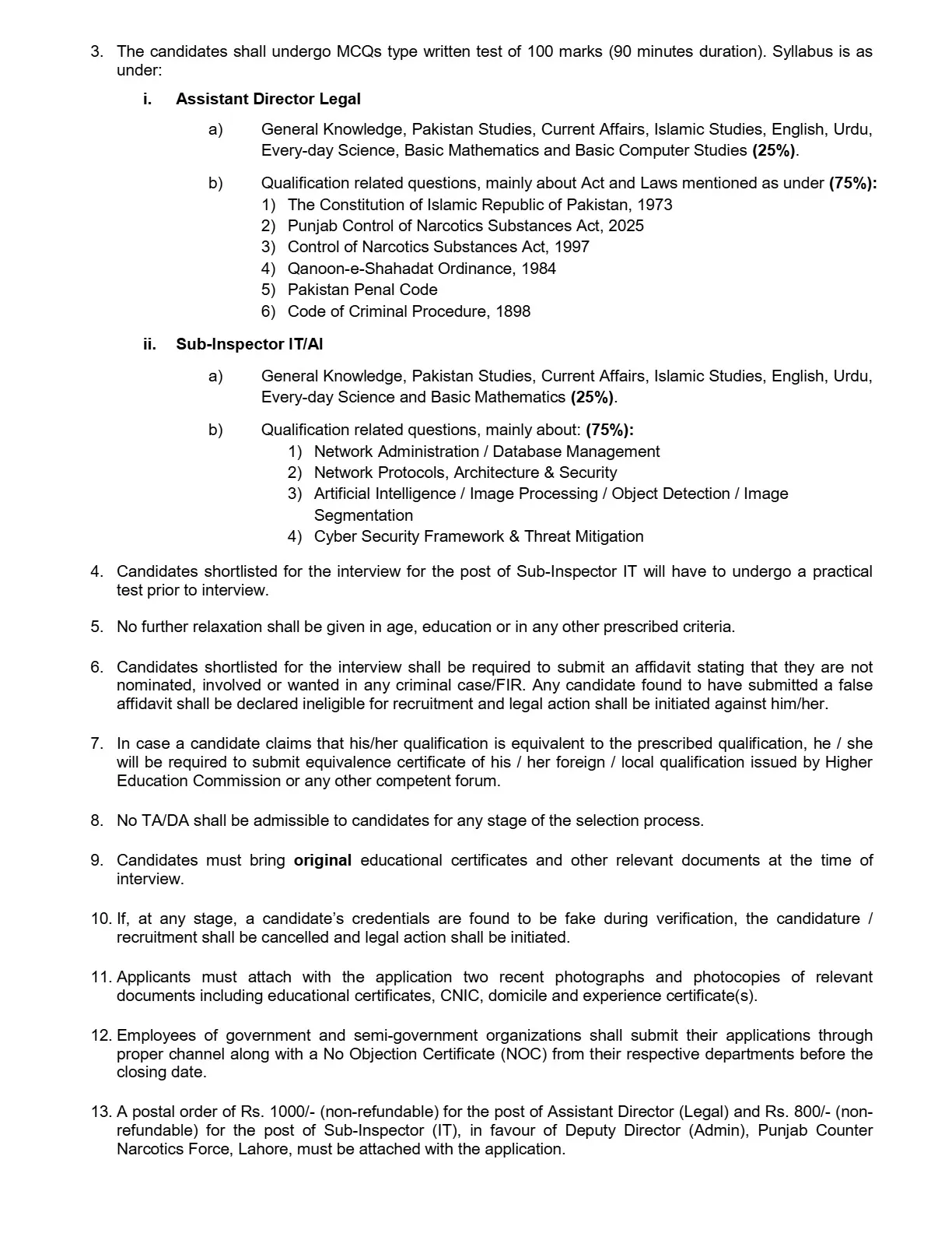
1. Assistant Director (Legal)
- Total Posts: 16
- Open Merit: 11
- Women Quota: 03
- Minority Quota: 01
- Disabled Quota: 01
- Salary: Rs. 273,132/month
Age Limit:
- Male: Up to 45 years
- Female: Up to 48 years
2. Sub-Inspector (IT/AI)
- Total Posts: 32
- Open Merit: 24
- Women Quota: 05
- Minority Quota: 02
- Disabled Quota: 01
- Salary: Rs. 185,820/month
Age Limit:
- Male: Up to 35 years
- Female: Up to 38 years
Gender: Male & Female
Domicile: Punjab
Posting: Anywhere in Punjab
Eligibility Criteria for CNF Jobs 2026
For Assistant Director (Legal)
- LLB degree with at least 2nd division
- Recognized by HEC
- 5 years High Court practice
OR - 3 years practice with postgraduate law degree
- Preferably 2 years experience with law firms or government
For Sub-Inspector (IT/AI)
- 16 years education in IT or Computer Science
- Minimum 1 year experience in:
- Network administration
- Database management
- Cyber security
- AI technologies like image processing, object detection
How to Apply for Punjab Counter Narcotics Force CNF Jobs 2026
To apply for Punjab Counter Narcotics Force CNF Jobs 2026, follow these steps:
- Visit the official website
👉 Click Here - Download application form and advertisement
- Fill the form carefully
- Attach required documents:
- CNIC
- Domicile
- Educational certificates
- Experience letters
- Photos
- Submit application to:
Director General, CNF HQ Lahore - Pay fee:
- Rs. 1000 (Assistant Director)
- Rs. 800 (Sub-Inspector)
Related Jobs
👉 FIA Jobs 2026 – Apply Online
Why Join Punjab Counter Narcotics Force CNF Jobs 2026
Choosing Punjab Counter Narcotics Force CNF Jobs 2026 comes with multiple benefits:
- High lump-sum salary packages
- Professional growth in law enforcement
- Opportunity to fight organized crime
- Secure government career
- Equal opportunity quotas
Image Suggestion (for SEO)
Alt Text: Punjab Counter Narcotics Force CNF Jobs 2026 Application Form
(Add CNF logo or Punjab Police style image)
Pro Tip for Selection
Prepare for:
- Legal MCQs (for Legal post)
- IT & AI technical questions (for Sub-Inspector)
Also ensure your experience documents are verified properly.
Important Deadline
Always check the latest advertisement on:
👉 Click Here
Deadlines may change, so don’t delay your application.
Final Words
If you meet the criteria, don’t miss this opportunity. Punjab Counter Narcotics Force CNF Jobs 2026 offer a powerful career path with purpose, stability, and excellent salary.
Apply as soon as possible and share this information with others who may qualify.



